How To Create A Semi Log Graph In Excel

Semi-Log Graph Paper Easy

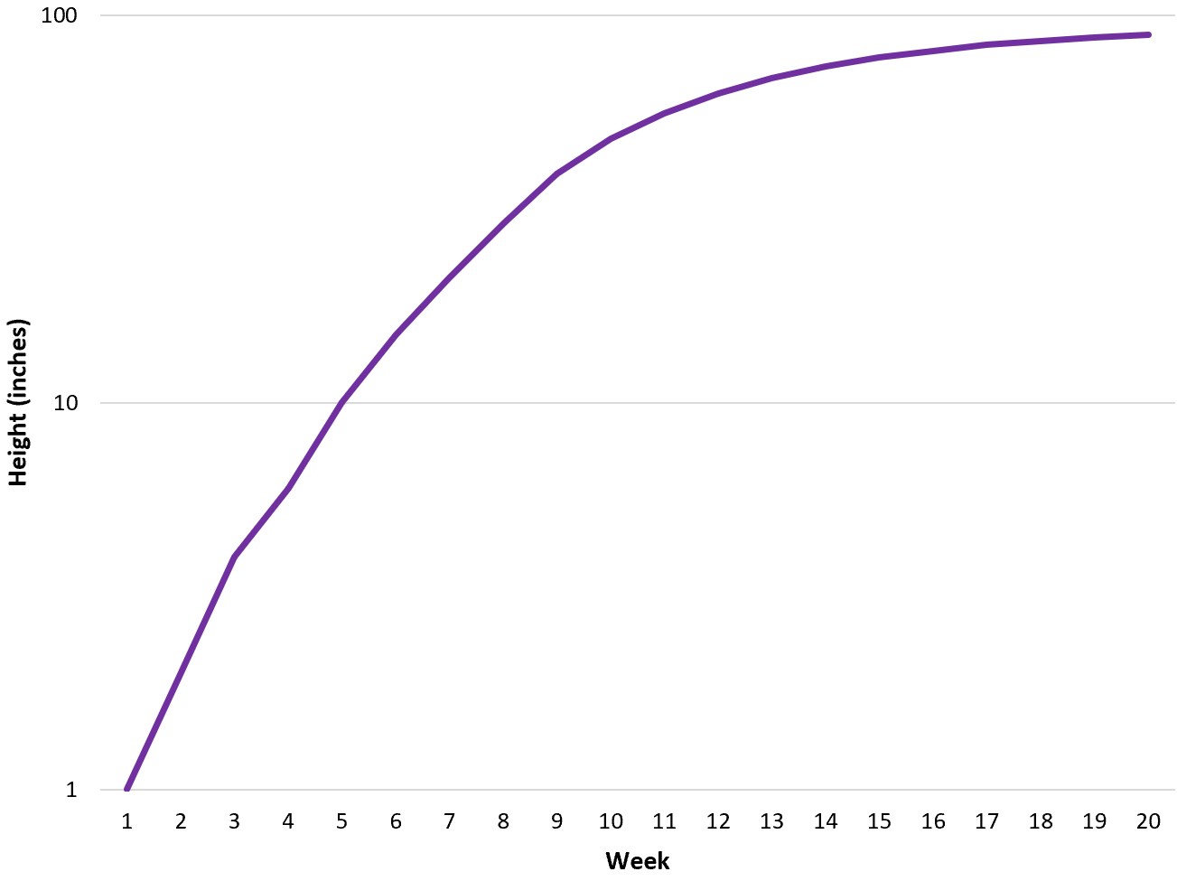
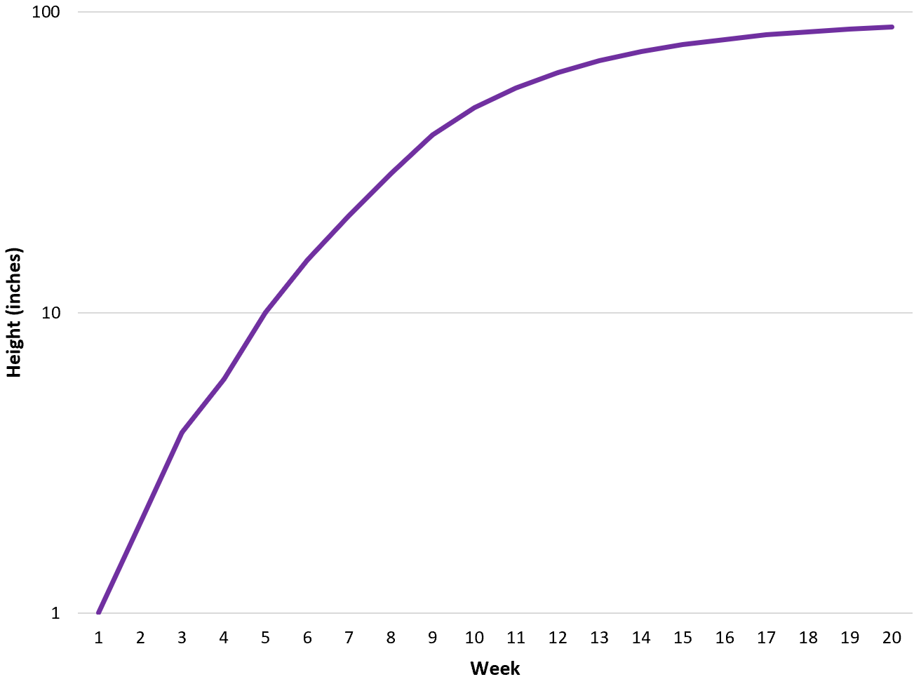
If you find it challenging to plot exponential functions or data points on regular graph paper, semi-log graph paper can be a game-changer. This specialized paper features one linear axis and one logarithmic axis, making it easier to visualize exponential relationships.

Whether you’re a student studying math or science, an engineer working on projects, or simply someone who enjoys graphing functions, semi-log graph paper can simplify the process and help you make sense of exponential growth or decay.

Semi-Log Graph Paper Easy

Semi-Log Graph Paper Easy

Semi-Log Graph Paper Easy to Use

One of the main advantages of semi-log graph paper is its simplicity. By having one axis with a linear scale and the other with a logarithmic scale, you can easily plot exponential functions without having to manipulate the axes yourself.

When using semi-log graph paper, all you need to do is plot your data points as you would on regular graph paper. The logarithmic scale on one axis automatically adjusts to accommodate exponential values, saving you time and effort in the process.

Whether you’re plotting the growth of a population, the decay of a radioactive substance, or any other exponential relationship, semi-log graph paper can help you visualize the data more effectively and draw meaningful conclusions from your graphs.

Next time you’re faced with plotting exponential functions or data, consider using semi-log graph paper to simplify the process. Its intuitive design and ease of use make it a valuable tool for students, professionals, and anyone else who needs to graph exponential relationships.

In conclusion, semi-log graph paper is a practical and user-friendly tool for visualizing exponential functions. Its unique design with one linear and one logarithmic axis makes it easy to plot data points accurately and interpret exponential relationships with ease. Give it a try and see how it can simplify your graphing tasks!

Semi Log Graph In Excel How To Create Precise Charts Fast MyExcelOnline

Semi Log Graph In Excel How To Create Precise Charts Fast MyExcelOnline

How To Create A Semi Log Graph In Excel

How To Create A Semi Log Graph In Excel

Leave a Reply

Your email address will not be published. Required fields are marked *